PAYMENT OF TUITION AND OTHER FEES
- When a student registers at SJASQ, it is understood that he is enrolling for the entire year. A student may pay either on a yearly or monthly basis. Those paying monthly are expected to pay within the first 20 days of the month. A surcharge is due to those who will fail to pay within this period.
- The school reserves the right to withhold the records of the students pending the settlement of the financial and property accounts with the school.
- Students are required to pay the amount of any school property lost or damaged through their fault.
- Students who drop out or transfer after the first quarter of the school year shall be required to pay the whole year’s tuition fee. Likewise, students who are admitted within the year .shall also be REQUIRED to pay the whole year’s tuition fee.
REFUND OF FEES
- A student who transfers or withdraws within two (2) weeks after the beginning of classes and who has already paid the pertinent tuition and other school fees in full or for any length longer than one month may be charged ten percent (10%) of the total amount due.
- NO REFUND of tuition fees shall be given to students who drop out after the period of one month, from the start of the school year except when they pay in CASH (the whole year’s tuition fee). In such case. 50% of the amount shall be refunded to them. Only rented books are refundable after clearance with the librarian.
- A written request for refund should be filed with the office of the School Treasurer.
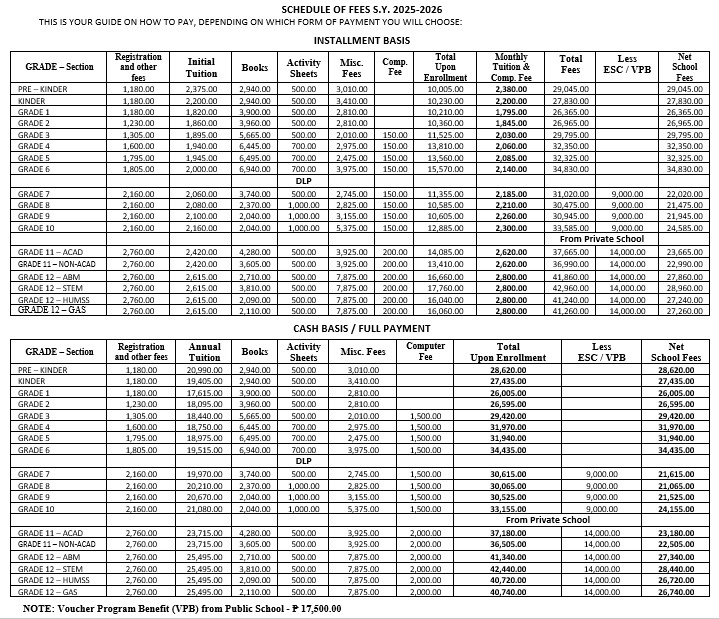
TUITION AND OTHER FEES for School Year 2025-2026
